サポートページ
ダウンロード
本書で使用するサンプルデータがダウンロードできます。
圧縮ファイルをダウンロードしていただき、適宜解凍してご利用ください。
各ファイルはテキスト形式になっています。データの読み込み方については、本書のP.39「2.4.3 Rでデータを入出力してみる」をご覧ください。
- ダウンロード
- DM_sampledata.zip
補足情報
本書に関する補足記事が著者のブログ(「銀座で働くData Scientistのブログ」)に掲載されています。ぜひ、本書と併せてご覧ください。
『手を動かしながら学ぶ ビジネスに活かすデータマイニング』(技術評論社)を書くに当たって気を付けたこと&補足など(追記あり)
サポートが切れたCRANパッケージについて
(2015年3月23日更新)
第7章で決定木を取り上げた際に紹介した{mvpart}パッケージのサポートが2014年12月の時点で切れてしまい、CRANからも削除された(http://
Mac OS / Linux
以下のコマンドでインストールできます。
|
Windows
Windowsの場合tar.gzファイルをデフォルトでは解凍できないため、上記の方法ではエラーを吐いて失敗してしまいます。よって、以下の方法を用いてインストールしてください。
- Rの実行ファイルR.exeにパス(Windowsの環境変数PATH)を通しておく。
- C:\Rというフォルダにインストールしたいパッケージを保存しておく。
- コマンドプロンプトで以下のコマンドを実行する。
R CMD INSTALL mvpart_1.6-2.tar.gz
ここでは以下の{mvpart}の古いアーカイブ一覧から、最新版(一番下)のものをDLしてきてC:\Rフォルダに保存するようにしてください。
http://
今後も、サポートが切れたCRANパッケージについては同様に対応していただきますようお願いいたします。
お詫びと訂正(正誤表)
本書の以下の部分に誤りがありました。ここに訂正するとともに、ご迷惑をおかけしたことを深くお詫び申し上げます。
(2014年10月27日更新)
P.11 20行目
| 誤 | データ現場 |
|---|---|
| 正 | データ分析の現場 |
P.15 脚注*11
| 誤 | 奇数個の場合は… |
|---|---|
| 正 | 偶数個の場合は |
P.40 5行目
| 誤 | その他read.table関数やwrite.table関数などを用いた… |
|---|---|
| 正 | その他write関数やwrite.table関数などを用いた… |
P.43 2行目
| 誤 | rbind関数をつなげます。 |
|---|---|
| 正 | rbind関数を使います。 |
P.43 2行目
| 誤 | cbindはマトリクスでもデータフレームでも使えますが、rbindはマトリクスでしか使えないので注意が必要です。 |
|---|---|
| 正 | cbind、rbindはマトリクスでもデータフレームでも使えます。 |
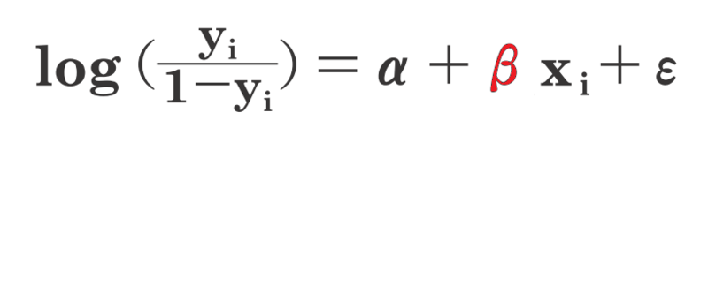
P.106 ロジスティック回帰の数式
| 誤 | |
|---|---|
| 正 |
P.123 図7-1 一番下の分岐内容
| 誤 | 左側:「このステップで最も「外れている」目的変数と…」 右側:「これ以上分けられないという…」 |
|---|---|
| 正 | 左側:「これ以上分けられないという…」 右側:「このステップで最も「外れている」目的変数と…」 |
P.128 囲み内
| 誤 | True |
|---|---|
| 正 | TRUE |
P.128 囲み内
| 誤 | False |
|---|---|
| 正 | FALSE |
P.212 コード記述下から6行目
| 誤 |
|
|---|---|
| 正 |
|

